102.二叉树的层序遍历
102.1 题目
给你二叉树的根节点 root,返回其节点值的 层序遍历。(即逐层地,从左到右访问所有节点)。
示例 1:
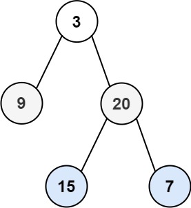
输入:root = [3,9,20,null,null,15,7]
输出:[[3],[9,20],[15,7]]

示例 2:
输入:root = [1]
输出:[[1]]
示例 3:
输入:root = []
输出:[]
提示:
- 树中节点数目在范围
[0, 2000]内 -1000 <= Node.val <= 1000
102.2 题解
方法一:迭代(层序遍历/BFS,使用队列)
思路
层序遍历就是一层一层地访问节点,用队列实现。
关键技巧:在每轮循环开始时,记录当前队列的大小,这个大小就是当前层的节点数。然后只处理这么多个节点,就能把每一层分开。
具体步骤:
- 根节点入队
- 记录当前层的节点数
levelSize - 遍历当前层的所有节点:出队、收集值、左右子节点入队
- 每处理完一层,把这一层的值列表加入结果
举个例子:
3
/ \
9 20
/ \
15 7
队列变化:
- 第1层:队列[3],出队3,入队9、20 → 结果[[3]]
- 第2层:队列[9,20],出队9、20,入队15、7 → 结果[[3],[9,20]]
- 第3层:队列[15,7],出队15、7 → 结果[[3],[9,20],[15,7]]
复杂度分析
- 时间复杂度:
O(n) - 空间复杂度:
O(n)
代码
// 方法一:迭代(层序遍历/BFS,使用队列)
// 使用队列进行层序遍历,记录每一层的节点数,遍历当前层节点并收集值,同时将下一层节点入队
static IList<IList<int>> LevelOrderIterative(TreeNode root)
{
IList<IList<int>> result = new List<IList<int>>();
// 如果根节点为空,直接返回空列表
if (root == null) return result;
Queue<TreeNode> queue = new Queue<TreeNode>();
queue.Enqueue(root);
// 循环处理队列中的节点
while (queue.Count > 0)
{
// 记录当前层的节点数
int levelSize = queue.Count;
// 用于存储当前层的节点值
List<int> currentLevel = new List<int>();
// 遍历当前层的所有节点
for (int i = 0; i < levelSize; i++)
{
TreeNode node = queue.Dequeue();
// 将当前节点值加入当前层列表
currentLevel.Add(node.val);
// 如果左子节点不为空,将左子节点入队
if (node.left != null)
{
queue.Enqueue(node.left);
}
// 如果右子节点不为空,将右子节点入队
if (node.right != null)
{
queue.Enqueue(node.right);
}
}
// 将当前层的节点值列表加入结果
result.Add(currentLevel);
}
return result;
}
方法二:递归(深度优先搜索/DFS,记录层数)
思路
用 DFS 也能做层序遍历,关键是记录当前节点在第几层。
递归时传入层数 level,把节点值加入对应层的列表。如果 level == result.Count,说明需要新增一层的列表。
举个例子:
3
/ \
9 20
/ \
15 7
DFS访问顺序:3 → 9 → 20 → 15 → 7
- 访问3,level=0,result=[[3]]
- 访问9,level=1,result=[[3],[9]]
- 访问20,level=1,result=[[3],[9,20]]
- 访问15,level=2,result=[[3],[9,20],[15]]
- 访问7,level=2,result=[[3],[9,20],[15,7]]
复杂度分析
- 时间复杂度:
O(n) - 空间复杂度:
O(n),递归栈
代码
// 方法二:递归(深度优先搜索/DFS,记录层数)
// 通过递归遍历二叉树,记录当前节点的层数,将节点值加入对应层数的列表中
static IList<IList<int>> LevelOrderRecursive(TreeNode root)
{
IList<IList<int>> result = new List<IList<int>>();
// 调用辅助递归方法,初始层数为0
LevelOrderHelper(root, 0, result);
return result;
}
// 递归辅助方法:node为当前节点,level为当前层数,result为结果列表
static void LevelOrderHelper(TreeNode node, int level, IList<IList<int>> result)
{
// 如果当前节点为空,直接返回
if (node == null) return;
// 如果当前层数等于结果列表的数量,说明需要新增一层的列表
if (level == result.Count)
{
result.Add(new List<int>());
}
// 将当前节点值加入对应层数的列表
result[level].Add(node.val);
// 递归遍历左子树,层数+1
LevelOrderHelper(node.left, level + 1, result);
// 递归遍历右子树,层数+1
LevelOrderHelper(node.right, level + 1, result);
}
102.3 代码
using System;
using System.Collections.Generic;
public class TreeNode
{
public int val;
public TreeNode left;
public TreeNode right;
public TreeNode(int val = 0, TreeNode left = null, TreeNode right = null)
{
this.val = val;
this.left = left;
this.right = right;
}
}
class Program
{
static void Main()
{
#region 题目
// 给你二叉树的根节点 root ,返回其节点值的 层序遍历 。 (即逐层地,从左到右访问所有节点)。
//
// 示例 1:
// 输入:root = [3,9,20,null,null,15,7]
// 输出:[[3],[9,20],[15,7]]
//
// 示例 2:
// 输入:root = [1]
// 输出:[[1]]
//
// 示例 3:
// 输入:root = []
// 输出:[]
//
// 提示:
// 树中节点数目在范围 [0, 2000] 内
// -1000 <= Node.val <= 1000
#endregion
#region 测试
// 示例 1
TreeNode root1 = new TreeNode(3,
new TreeNode(9),
new TreeNode(20, new TreeNode(15), new TreeNode(7)));
IList<IList<int>> result1 = LevelOrderIterative(root1);
Console.WriteLine($"示例1 迭代 方法 输出:{FormatList(result1)}");
IList<IList<int>> result1_2 = LevelOrderRecursive(root1);
Console.WriteLine($"示例1 递归 方法 输出:{FormatList(result1_2)}");
// 示例 2
TreeNode root2 = new TreeNode(1);
IList<IList<int>> result2 = LevelOrderIterative(root2);
Console.WriteLine($"示例2 迭代 方法 输出:{FormatList(result2)}");
IList<IList<int>> result2_2 = LevelOrderRecursive(root2);
Console.WriteLine($"示例2 递归 方法 输出:{FormatList(result2_2)}");
// 示例 3
TreeNode root3 = null;
IList<IList<int>> result3 = LevelOrderIterative(root3);
Console.WriteLine($"示例3 迭代 方法 输出:{FormatList(result3)}");
IList<IList<int>> result3_2 = LevelOrderRecursive(root3);
Console.WriteLine($"示例3 递归 方法 输出:{FormatList(result3_2)}");
#endregion
}
#region 辅助方法
// 辅助方法:格式化层序遍历结果为字符串,方便输出
static string FormatList(IList<IList<int>> list)
{
if (list == null || list.Count == 0) return "[]";
List<string> levelStrings = new List<string>();
foreach (var level in list)
{
levelStrings.Add($"[{string.Join(",", level)}]");
}
return $"[{string.Join(",", levelStrings)}]";
}
#endregion
#region 答案
// 方法一:迭代(层序遍历/BFS,使用队列)
// 使用队列进行层序遍历,记录每一层的节点数,遍历当前层节点并收集值,同时将下一层节点入队
static IList<IList<int>> LevelOrderIterative(TreeNode root)
{
IList<IList<int>> result = new List<IList<int>>();
// 如果根节点为空,直接返回空列表
if (root == null) return result;
Queue<TreeNode> queue = new Queue<TreeNode>();
queue.Enqueue(root);
// 循环处理队列中的节点
while (queue.Count > 0)
{
// 记录当前层的节点数
int levelSize = queue.Count;
// 用于存储当前层的节点值
List<int> currentLevel = new List<int>();
// 遍历当前层的所有节点
for (int i = 0; i < levelSize; i++)
{
TreeNode node = queue.Dequeue();
// 将当前节点值加入当前层列表
currentLevel.Add(node.val);
// 如果左子节点不为空,将左子节点入队
if (node.left != null)
{
queue.Enqueue(node.left);
}
// 如果右子节点不为空,将右子节点入队
if (node.right != null)
{
queue.Enqueue(node.right);
}
}
// 将当前层的节点值列表加入结果
result.Add(currentLevel);
}
return result;
}
// 方法二:递归(深度优先搜索/DFS,记录层数)
// 通过递归遍历二叉树,记录当前节点的层数,将节点值加入对应层数的列表中
static IList<IList<int>> LevelOrderRecursive(TreeNode root)
{
IList<IList<int>> result = new List<IList<int>>();
// 调用辅助递归方法,初始层数为0
LevelOrderHelper(root, 0, result);
return result;
}
// 递归辅助方法:node为当前节点,level为当前层数,result为结果列表
static void LevelOrderHelper(TreeNode node, int level, IList<IList<int>> result)
{
// 如果当前节点为空,直接返回
if (node == null) return;
// 如果当前层数等于结果列表的数量,说明需要新增一层的列表
if (level == result.Count)
{
result.Add(new List<int>());
}
// 将当前节点值加入对应层数的列表
result[level].Add(node.val);
// 递归遍历左子树,层数+1
LevelOrderHelper(node.left, level + 1, result);
// 递归遍历右子树,层数+1
LevelOrderHelper(node.right, level + 1, result);
}
#endregion
}
102.4 运行结果
示例1 迭代 方法 输出:[[3],[9,20],[15,7]]
示例1 递归 方法 输出:[[3],[9,20],[15,7]]
示例2 迭代 方法 输出:[[1]]
示例2 递归 方法 输出:[[1]]
示例3 迭代 方法 输出:[]
示例3 递归 方法 输出:[]
转载请注明来源,欢迎对文章中的引用来源进行考证,欢迎指出任何有错误或不够清晰的表达。可以在下面评论区评论,也可以邮件至 785293209@qq.com